杨瀚森全明星票数揭晓!获10.4万票排名第36 媒体和球员票均为零

时间:2026年01月21日 03:00

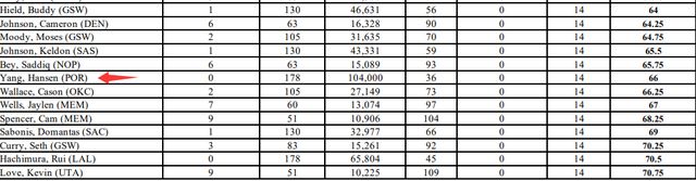
北京时间1月20日,北京时间1月20日,NBA官方公布了2026年全明星赛的首发阵容。西部首发是亚历山大、约基奇、东契奇、文班亚马和库里,东部首发是字母哥、坎宁安、布伦森、马克西和杰伦-布朗。随后,NBA官方公布了具体票数。东契奇得到3402967票,成为票王。杨瀚森得到104000票,在球迷投票部分,排名联盟第36位。





杨瀚森的媒体票和球员票均为零,2026年NBA全明星赛首发球员由球迷、现役NBA球员以及媒体评审团共同选出。球迷投票占首发人选评选权重的50%,球员与媒体投票各占25%。所有投票统计完毕后,球员将按照投票群体划分,在东西部两个联盟内分别进行排名。每位球员的最终得分,由其在球迷投票、球员投票和媒体投票中的加权排名取平均值计算得出。

球员得分的权重分配为球迷投票占50%、球员投票占25%、媒体投票占25%,具体计算公式为:(球迷排名×2+球员排名+媒体排名)÷4

杨瀚森的加权得分是66(分越低排名越高,比如约基奇是1.75),在他后一位是雷霆的卡森-华莱士,在他前一位是鹈鹕的萨迪克-贝。

杨瀚森今日已经被开拓者下放到发展联盟,将继续为混音出战比赛。过去两场发展联盟比赛,杨瀚森场均18分12篮板,分别创得分新高(22)和篮板新高(17)。

TAG / 关键词  卡森  杨瀚森  约基奇  阿德托昆博  全明星票数 

录像视频

集锦视频

热门资讯

热门标签

英超   湖人   NBA   快船队   足球   比赛集锦   曼联   利物浦   阿森纳   皇家马德里   切尔西队   曼城   勒布朗詹姆斯   巴塞罗那队   欧冠   篮球   勇士   马刺队   勇士更衣室   cba   比赛录像   科怀·伦纳德   勇士队   西甲   斯蒂芬·库里   三分命中率   雄鹿队   詹姆斯·哈登   库里   吉米·巴特勒   阿德托昆博   意甲   皇马   热刺队   巴萨   凯文杜兰特   国际米兰   哈登   阴阳合同   拜仁   英超联赛   马德里竞技   明尼苏达森林狼队   尤文图斯队   威少   欧洲杯揭幕战   丹佛掘金队   热火队   纽约尼克斯队   里夫斯   乒乓球今天比赛时间表   今天乒乓球比赛直播   足球88nba免费直播   特莱斯   中国队和日本队比赛直播   利雅得新月   77直播看免费   免费看直播   库里生日   博塔弗戈   央视5套直播在线观看   电视台直播在线观看   劲爆体育nba直播在线观看   nba火箭队最新赛况   乐播直播   中国男足vs日本直播   今晚山东男篮比赛直播   jrs直播吧免费直播   nba视频直播   球探比分网007   乐球tv直播   免费看nba网站   中国vs日本足球直播视频回放   湖北卫视正在直播中   西甲彩经   新浪3d开奖直播现场直播   乒乓球明天比赛时间   直播吧全场录像   cctv5今晚直播cba   亚冠联赛直播在线观看   赛程cba   快船今天的比赛直播视频   球派体育nba直播   乒乓直播   主播视频com入口在线观看